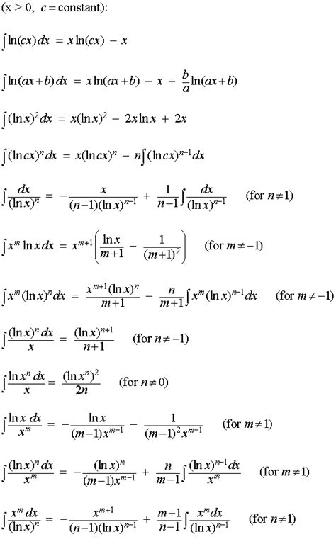
Ln Integral

Ln Integral

integral ln x itu apa?

1. integral ln x itu apa?


k = ∫ ln x dx
k = x ln x - ∫ x d(ln x)
k = x ln x - ∫ dx
k = x ln x - x + C

2. integral ln x = ....?


∫x = 1/2x² + c ..................

3. integral parsial berulangintegral ln²x.dx


in ×3 karna itu yg aku plajari maaf kalo salah

4. integral dari ln (x^2 + 2) dx


1/3x^3 + 2x

semoga membantuGunakan integral parsial dengan:
U = ln(x²+2)
dV = dx
Sehingga:
V = x
dU = 2x/[x²+2]

Yang menyebabkan:
[tex]$\begin{align}\int U\, dV&=UV-\int V\, dU \\ &=x.\ln(x^2+2)-\int\frac{2x^2}{x^2+2}\, dx \\ &=x.\ln(x^2+2)-\int\frac{(2x^2+4)-4}{x^2+2}\, dx \\ &=x.\ln(x^2+2)-\int2-\frac{4}{x^2+2}\, dx \\ &=x.\ln(x^2+2)-\left[2x-\frac{4}{\sqrt2}\tan^{-1}\frac{x}{\sqrt2}\right]+C&\boxed{?} \\ &=x(\ln(x^2+2)-2)+2\sqrt2\tan^{-1}\frac{x}{\sqrt2}+C\end{align}[/tex]

Note:
[tex]\boxed{?}\to\displaystyle \int\frac{k}{x^2+n}\, dx=\frac{k}{\sqrt n}\tan^{-1}\frac{x}{\sqrt n}+C[/tex]

5. Integral dari persamaan y = ln (x²) adalah...


Bab Integral
Matematika SMA Kelas XII

y = ln x²

∫ ln x² . dx = ...

v = x
v' = 1

u = ln x²
u' = 2/x

∫ u . v' = u . v - ∫ u' v

∫ ln x² . dx = (ln x²) . x - ∫ (2/x) . x . dx
∫ ln x² . dx = x . ln x² - ∫ 2 . dx
∫ ln x² . dx = x. ln x² - 2x + C

[tex]\displaystyle \int\ln x^2\,dx=\int2\ln x\,dx\\\int\ln x^2\,dx=2(x\ln x-x)+C\\\boxed{\boxed{\int\ln x^2\,dx=2x\ln x-2x+C}}[/tex]

6. hitung integral berikut : ln x dx


Jawaban ada di lampiran...

7. integral sin(ln(5x) dx


∫ sin (㏑ 5x) dx
u = 5x
du / dx = 5 → dx = du / 5
= 1/5 ∫ sin (㏑ u) du
v = ㏑ u
dv / du = 1 / u
v = ㏑ u → u = e^v

∫ fg' = fg - ∫ gf'
f = sin v → f' = cos v
g' = e^v → g = e^v
∫ e^v sin v dv = e^v sin v - ∫ e^v cos v dv

∫ fg' = fg - ∫ gf'
f = cos v → f' = -sin v
g' = e^v → g = e^v
∫ e^v cos v dv = e^v cos v - ∫ e^v (-sin v) dv
                       = e^v cos v + ∫ e^v sin v dv
Jadi
∫ e^v sin v dv = e^v sin v - (e^v cos v + ∫ e^v sin v dv)
∫ e^v sin v dv + ∫ e^v sin v dv = e^v sin v - e^v cos v
∫ e^v sin v dv = 1/2 (e^v sin v - e^v cos v)
1/5 ∫ u sin (㏑ u) du / u = 1/2 [u sin (㏑ u) - u cos (㏑ u)]
∫ sin (㏑ 5x) dx = 1/10 [5x sin (㏑ 5x) - 5x cos (㏑ 5x)] + C
                        = 1/2 {x [sin (㏑ 5x) - cos (㏑ 5x)]} + C

8. Integral ln(2x+1) dx


integral dari 2 x tambah 1 ialah 2 x pangkat 2 per 2 tambah satu

9. hasil dari integral x ln² x dx adalah​


Hasil dari [tex]\int\limits {xln^2x} \, dx[/tex] adalah [tex]\boldsymbol{\frac{1}{2}x^2ln^2x-\frac{1}{2}x^2lnx+\frac{1}{4}x^2+C}.[/tex]

PEMBAHASAN

Integral merupakan operasi yang menjadi kebalikan dari operasi turunan/diferensial. Sehingga integral sering juga disebut sebagai antiturunan.

Salah satu metode untuk menyelesaikan integral adalah metode integral parsial. Dimana :

[tex]\int\limits {u} \, dv=uv-\int\limits {v} \, du[/tex]

.

DIKETAHUI

[tex]\int\limits {xln^2x} \, dx=[/tex]

.

DITANYA

Tentukan hasil integralnya

.

PENYELESAIAN

Kita gunakan metode integral parsial.

Misal :

[tex]u=ln^2x~~\to~~du=\frac{2lnx}{x}dx[/tex]

[tex]dv=xdx~~\to~~v=\frac{1}{2}x^2[/tex]

Maka :

[tex]\int\limits {xln^2x} \, dx=uv-\int\limits {v} \, du[/tex]

[tex]\int\limits {xln^2x} \, dx=ln^2x(\frac{1}{2}x^2)-\int\limits {\frac{1}{2}x^2(\frac{2lnx}{x})} \, dx[/tex]

[tex]\int\limits {xln^2x} \, dx=\frac{1}{2}x^2ln^2x-\int\limits {xlnx} \, dx[/tex]

.

Kita cari dahulu hasil dari [tex]\int\limits {xlnx} \, dx[/tex] dengan menggunakan integral parsial lagi.

Misal :

[tex]u=lnx~~\to~~du=\frac{1}{x}dx[/tex]

[tex]dv=xdx~~\to~~v=\frac{1}{2}x^2[/tex]

Maka :

[tex]\int\limits {xlnx} \, dx=uv-\int\limits {v} \, du[/tex]

[tex]\int\limits {xlnx} \, dx=lnx(\frac{1}{2}x^2)-\int\limits {\frac{1}{2}x^2(\frac{1}{x})} \, dx[/tex]

[tex]\int\limits {xlnx} \, dx=\frac{1}{2}x^2lnx-\frac{1}{2}\int\limits {x} \, dx[/tex]

[tex]\int\limits {xlnx} \, dx=\frac{1}{2}x^2lnx-\frac{1}{2}(\frac{1}{2}x^2)+C[/tex]

[tex]\int\limits {xlnx} \, dx=\frac{1}{2}x^2lnx-\frac{1}{4}x^2+C[/tex]

.

Substitusikan ke pers. awal.

[tex]\int\limits {xln^2x} \, dx=\frac{1}{2}x^2ln^2x-\int\limits {xlnx} \, dx[/tex]

[tex]\int\limits {xln^2x} \, dx=\frac{1}{2}x^2ln^2x-(\frac{1}{2}x^2lnx-\frac{1}{4}x^2+C)[/tex]

[tex]\int\limits {xln^2x} \, dx=\frac{1}{2}x^2ln^2x-\frac{1}{2}x^2lnx+\frac{1}{4}x^2+C[/tex]

.

KESIMPULAN

Hasil dari [tex]\int\limits {xln^2x} \, dx[/tex] adalah [tex]\boldsymbol{\frac{1}{2}x^2ln^2x-\frac{1}{2}x^2lnx+\frac{1}{4}x^2+C}.[/tex]

.

PELAJARI LEBIH LANJUTIntegral parsial : https://brainly.co.id/tugas/30673657Integral parsial : https://brainly.co.id/tugas/28945863Integral metode substitusi : https://brainly.co.id/tugas/30176534

.

DETAIL JAWABAN

Kelas : 11

Mapel: Matematika

Bab : Integral Tak Tentu

Kode Kategorisasi: 11.2.10

Kata Kunci : integral, tak, tentu, antiturunan, parsial.


10. Hasil dari Integral  (ln x) ?


integral) ln (x) dx 
set u = ln (x), dv = dx kemudian kita menemukan du = (1 / x) dx, v = x 
pengganti 
(integral) ln (x) dx = (integral) u dv 
dan menggunakan integrasi parsial 
= Uv - (integral) v du 
pengganti u = ln (x), v = x, dan du = (1 / x) dx 
= Ln (x) x - (integral) x (1 / x) dx = Ln (x) x - (tidak terpisahkan) dx = Ln (x) x - x + C = X ln (x) - x + C.


11. Integral x ln x dx =


Mungkin maksud x sin x dx maka jadi -1/2 x² cos x

12. hitung integral dari integral ln x/x dx


integral in 1=x..iya karena x:x=1

13. Tuliskan hasil integral dari  y = ln x​


Jawaban:

[tex]x \ln(x) - x + c[/tex]

Penjelasan dengan langkah-langkah:

[tex] \sf \color{ff0000}{j} \color{ff4000}{a}\color{ff8000}{w}\color{ffc000}{a}\color{ffff00}{b}\color{c0ff00}{a}\color{80ff00}{n} \: \color{40ff00}{d}\color{00ff00}{a}\color{00ff40}{r}\color{00ff80}{i} \: \color{00ffc0}{a} \color{00ffff}{r}\color{00c0ff}{i}\color{0080ff}{a}\color{0040ff}{m}\color{0000ff}{u}\color{4000ff}{h}\color{8000ff}{a}\color{c000ff}{m}\color{ff00ff}{m}\color{ff00c0}{a}\color{ff00a0}{d}\color{ff0080}{5}\color{ff0040}{8} \color{ff0000}{7}[/tex]

Ada di gambar

[tex]\colorbox{ff0000}{\color{transparent} |}\colorbox{ff4000}{ \color{transparent}|}\colorbox{ff8000}{ \color{transparent}|}\colorbox{ffc000}{ \color{transparent}|}\colorbox{ffff00}{ \color{transparent}|}\colorbox{c0ff00}{ \color{transparent}|}\colorbox{80ff00}{ \color{transparent}|}\colorbox{40ff00}{ \color{transparent}|}\colorbox{00ff00}{ \color{transparent}|}\colorbox{00ff40}{ \color{transparent}|}\colorbox{00ff80}{ \color{transparent}|}\colorbox{00ffc0}{ \color{transparent}|}\colorbox{00ffff}{ \color{transparent}|}\colorbox{00c0ff}{ \color{transparent}|}\colorbox{0080ff}{ \color{transparent}|}\colorbox{0040ff}{ \color{transparent}|}\colorbox{0000ff}{ \color{transparent}|}\colorbox{4000ff}{ \color{transparent}|}\colorbox{8000ff}{ \color{transparent}|}\colorbox{c000ff}{ \color{transparent}|}\colorbox{ff00ff}{ \color{transparent}|}\colorbox{ff00c0}{ \color{transparent}|}\colorbox{ff0080}{ \color{transparent}|}\colorbox{ff0040}{ \color{transparent}|}[/tex]

Jawab:

Penjelasan dengan langkah-langkah:

integral

__

∫ ln x  dx

Int parsial

cara lain dengan  tanzalin

∫ 1.  ln x  dx =

   D       I

+  ln x     1

-   1/x       x

[tex]\sf \int ln (x) dx = x. ~ln x - \int \frac{1}{x}(x) dx[/tex]

[tex]\sf \int ln (x) dx = x. ~ln x - \int 1~ dx[/tex]

[tex]\sf \int ln (x) dx = x. ~ln x -~x + c[/tex]


14. integral parsial dari x. ln(x) dx


∫ x ㏑ x dx
u = ㏑ x → du = 1/x dx
dv = x dx → v = ∫ x dx = 1/2 x²

∫ x ㏑ x dx = 1/2 x² ㏑ x - 1/2 ∫ x² (1/x) sx
= 1/2 x² ㏑ x - 1/4 x² + C

15. integral 3 ln x dx = .....


Jawaban:

[tex] \frac{ {3}^{2} }{2} + c[/tex]


16. integral sin(ln x).dx


d((x sin (ln x) - x cos (ln x))/2 + C)/dx 
= 1/2 (d(x sin (ln x))/dx - d(x cos (ln x))/dx) 
= 1/2 (dx/dx * sin (ln x) + x*d(sin (ln x))/dx - dx/dx * cos (ln x) - x*d(cos (ln x))/dx) 
= 1/2 (sin (ln x) + x cos (ln x) * d(ln x)/dx - cos (ln x) + x sin (ln x) * d(ln x)/dx) 
= 1/2 (sin (ln x) + cos (ln x) - cos (ln x) + sin (ln x)) 
= 1/2 (2 sin (ln x)) 
= sin (ln x) 
semoga bener aja...
maaf jika salah 

17. integral (ln x)³ dx


3x*ln(x)-3x+c maaf kalo salah[tex]
\text{Gunakan integrasi parsial }\\
\text{Misal }u=(\ln{x})^3\Rightarrow du=3(\ln{x})^2\cdot\frac{1}{x}dx\\
dv=dx\Rightarrow v=\int{dx}=x\\
\text{Selanjutnya, diperoleh}\\
\int{(\ln{x})^3dx}=u\cdot v-\int{v\cdot du}=(\ln{x})^3\cdot x-\int{x\cdot\frac{3(\ln{x})^2}{x}dx}
[/tex]

18. integral x ln 3x dx adalah


Integral 1/x=ln x
Jadi integral x ln 3x dx= 3/x

19. integral dari ln x / x^1/2


1/2 x² . 2x^1/2
.'.........

20. admin saya mau tanya integral ln dv itu apa?


∫ ln v dv
u = ln v, du = (1/v) dv
dv = 1, v = v
∫ u dv = uv - ∫ v du
∫ ln v dv = ln v (v) - ∫ v (1/v) dv
= v ln (v) - ∫ dv
= v ln (v) - v + C

∫ ln v (dv/v)
= ∫ [(ln v)/v] dv
u = ln v, du = 1/v dv
= ∫ u du
= 1/2 u² + C
= 1/2 (ln v)² + C
= 1/2 ln² v + C


21. Integral ln^3 (x) dx


Jawab:

Penjelasan dengan langkah-langkah:

gunakan integral parsial

[tex]\int {u} \, dv=uv-\int\ {v} \, du\\\\\\misal~u=ln^3x~->du=\frac{3ln^2x}{x}dx\\\\dv=dx~->v=x\\\\\\maka~\int {ln^3x} \, dx\\\\=xln^3x-\int {\frac{3ln^2x}{x}.x} \, dx\\\\=xln^3x-\int {3ln^2x} \, dx~~~~~~~~misal~u=ln^2x~->du=\frac{2lnx}{x}dx\\\\~~~~~~~~~~~~~~~~~~~~~~~~~~~~~~~~~~~~~~~~~~~~dv=dx~->v=x\\\\=xln^3x-3(xln^2x-\int {\frac{2lnx}{x}.x} \, dx)\\\\=xln^3x-3(xln^2x-2\int {lnx} \, dx)\\[/tex]

[tex]\\=xln^3x-3xln^2x+6\int {lnx} \, dx~~~~~~~~~misal~u=lnx~->du=\frac{1}{x}dx\\\\~~~~~~~~~~~~~~~~~~~~~~~~~~~~~~~~~~~~~~~~~~~~~~~~~~~~~~~~~~dv=dx~->v=x\\\\=xln^3x-3xln^2x+6(xlnx-\int {\frac{1}{x}.x} \, dx)\\\\=xln^3x-3xln^2x+6(xlnx-\int {} \, dx)\\\\=xln^3x-3xln^2x+6(xlnx-x)+C\\\\=xln^3x-3xln^2x+6xlnx-6x+C[/tex]


22. Selesaikan integral berikut: integral x^2 ln (x^2) dx


[tex]\displaystyle \int x^2\ln x^2 \,dx=\int2x^2\ln x\,dx\\\int x^2\ln x^2 \,dx=\frac23x^3\ln x-\int\frac23x^3\cdot\frac1x\,dx\\\int x^2\ln x^2 \,dx=\frac23x^3\ln x-\int\frac23x^2\,dx\\\int x^2\ln x^2 \,dx=\frac23x^3\ln x-\frac29x^3\\\boxed{\boxed{\int x^2\ln x^2 \,dx=\frac29x^3(3\ln x-1)}}[/tex]

23. hasil dari integral x ln² x dx adalah​


Jawaban:

maaf kalo salah yah!!

hehehehe:)


24. Integral persiel dari integral ( x + 5 ) Ln x dx


#dirumahsaja

∫ (x + 5) ln x  dx

u = ln x  --> du = 1/x dx

dv = (x + 5) --> v  = 1/2 x² + 5x

∫ u dv =  uv - ∫ v du

=  ln  x .  { 1/2 x² + 5x } - ∫ 1/x ( 1/2 x² + 5x) dx  + c

=  ln  x .  { 1/2 x² + 5x } - ∫ (1/2 x + 5) dx  + c

=  ln  x .  { 1/2 x² + 5x } -  (1/4 x²  + 5x ) + c


25. integral ln (3x+1) dx


((3x - 1) (ln (3x-1) - 1)) / 3 + C.


26. Integral parsial dari : ln(7x^5)


Ln(7x⁵) = Ln(7) + Ln(x⁵)

           = Ln(7) + 5.Ln(x)

∫Ln(7x⁵)dx = ∫( Ln(7) + 5.Ln(x))dx

                 = ∫Ln(7)dx + 5.∫Ln(x).dx

                = x.Ln(7) + 5.∫Ln(x).dx

∫(Ln(7x^5)dx = Ln(7^x) + 5.∫Ln(x).dx

Parsial dari Ln(x) :

∫Ln(x).1.dx

Nomor(n)    Tanda        Turunan         Integral

    0                +  =>             Ln(x)                 1

    1                 -  =>                1/x =>               x

Hasilnya :

∫Ln(x).1.dx = x.Ln(x) - ∫1/x . x . dx

                 = x.Ln(x) - ∫1.dx

                = x.Ln(x) - x

               = x(Ln(x) - 1)

∫(Ln(7x^5)dx = Ln(7^x) +  5x(Ln(x) - 1)


27. Integral ln(0,5x) dx


jawab

∫ ln  (x/2) dx

parsial
u = ln(x/2) , dx = dg
du = 1/x  , x = g

∫ln (x/2)  dx = ∫ u  dg =  ug  - ∫ g du
= ln (x/2).x - ∫ x (1/x)
= x .ln (x/2) - x  + c


28. integral x^2.ln x dx =


[tex]\int x^2\ln x\, dx \\ U=\ln x~~~~~~~~~~dU=\frac{1}{x}\, dx \\ dV=x^2\, dx~~~~~V=\frac{1}{3}x^3 \\ \int x^2\ln x\, dx =\frac{1}{3}x^3\ln x-\int \frac{1}{3}x^3\times\frac{1}{x}\, dx \\ \int x^2\ln x\, dx =\frac{1}{3}x^3\ln x-\frac{1}{3}x^2\, dx \\ \int x^2\ln x\, dx =\frac{1}{3}x^3\ln x-\frac{1}{9}x^3+C \\ \int x^2\ln x\, dx =\frac{1}{9}x^3(3\ln x-1)+C[/tex]

29. bisa tolong jelaskan fungsi ln(len) dlm integral?


fungsi In(len) dalm integral yaitu apabila kita menemukan model soal seperti integral 1/x=tulisan.y In|x|(1In(len).y x
maaf klw salahln itu seperti logaritma (log), mereka memiliki sifat yang sama. perbedaannya adalah nilai dasar yg digunakan, logaritma menggunakan nilai dasar 10 ,sedangkan ln menggunakan nilai dasar bilangan natural. cara diferensial maupun integral mereka berbeda. semoga membantu. jadikan yg terbaik yaa

30. integral t ln (t+1) dtbantuannya ​


Penjelasan dengan langkah-langkah:

�1.Computethefollowingintegral:�4√tlntdt1Weapplyintegrationbyparts:u=lntv=2t3/21du=dtdv=3√tdttThen:�3/2t−1�4√tlntdt=23t3/2lnt���4−�423�t��·dt111t1/2��424=t3/2lnt−t3/2391164=ln 4−(43/2−1)391628=ln 4−392.Computethefollowingintegral:�π/4tan4θsec6θdθ0Recallthatsec2θ=1 + tan2θ,so:�π/4�π/4tan4θsec6θdθ=tan4θ(1+tan2θ)2sec2θdθ.00Letu=tanθ.Thendu=sec2θdθand:0≤θ≤π/4⇒0≤u≤1.�π/4�1tan4θsec6θdθ=u4(1+u2)2du00�1=u4(1+2u2+u4)


31. Hasil dari Integral  (ln 3x) ?


∫ln|3x| dx

gunakan partisi

misal :
u = ln|3x|
du = 1/x dx
dx = dv
x = v

sehingga :
= u.v - ∫ v.du
= ln|3x|.x - ∫x. 1/x dx
= xln|3x| - ∫x/x dx
= xln|3x| - ∫1 dx
= xln|3x| - x + C
= x(ln|3x| - 1) + C

32. tentukan lah hasil integral ln x dx =


gunakan parsial.

misal,
u = ln|x|
du = 1/x dx

dv = dx
v = x

= uv - ∫v du
= ln|x|.x - ∫x (1/x) dx
= x.ln|x| - ∫dx
= x.ln|x| - x + C
= (ln|x| - 1)x + C

33. Buktikan Integral 0 = ln k



=[kx-kx3

∫10k(1−x2)=2∫01k(1−x2)=2

k-k

=[kx−kx33]10=2=[kx−kx33]01=2

2

k−k3=2k−k3=2

k=3

23k=223k=2

k=3k=3

Jadi karena itu k harus 3 untuk ∫1−1f(x)dx=1

Maaf kalo salah.

34. Integral (9x-2).ln(9x-4)dx


Hai, Salam Kenal!!

Jawaban beserta pembahasan ada pada gambar!!!

Semoga Membantu
✔Matematika
✔Integral
✔Bab 4
✔Kelas XI Semester Genap
✔Tetap Semangat Belajar
✔Jangan Menyerah
✔Brainly.com

35. Integral dari ln^3 x / x


Misal:
u = ln x
du = 1/x dx

int (ln x)³ dx/x = int u³ du
= (1/4)u⁴ + c
= (1/4)(ln x)⁴ + c

36. hasil dari integral ln x dx adalah .... ​


Menggunakan integral parsial

[tex]u = \ln x \to \: du = \frac{1}{x} dx \\ dv = dx \to \: v = \int dx = x[/tex]

[tex] \int u \: dv = u.v - \int v.du \\ = (x)( ln \: x) - \int \: (x)( \frac{1}{x} dx) \\ = x \: ( \ln \: x) - \int \: 1 \: dx \\ = x( \ln \: x) - x + c[/tex]


37. Integral ln 1/2 x dx??


Misalkan [tex] a = \frac{x}{2} \Leftrightarrow \mathrm{d}x = 2 \mathrm{d}a \\ [/tex].

Substitusi ke integral tersebut.

[tex] \begin{align} \int \ln \left(\frac{x}{2} \right) \: \mathrm{d}x &= 2 \int \ln a \: \mathrm{d}a \end{align} [/tex]

Demgan menggunakan integral parsial,

[tex] \boxed{\int u \: \mathrm{d}v = uv - \int v \: \mathrm{d}u} \\ [/tex]

Kita misalkan:

[tex] u = \ln a \Leftrightarrow \mathrm{d}u = \frac{\mathrm{d}a}{a} \\ [/tex]

dan

[tex] \frac{\mathrm{d}v}{\mathrm{d}a} = 1 \mathrm{d}x \Leftrightarrow v = a \\ [/tex]

[tex] \begin{align} \int \ln \left (\frac{x}{2} \right ) \: \mathrm{d}x &= 2 \left ( \ln a \cdot a - \int a \cdot \frac{1}{a} \: \mathrm{d}a \right ) \\ &= 2a \ln a - 2a + C \\ &= x \left(\ln \left(\frac{x}{2}\right) - 1 \right ) + C \end{align} [/tex]

Cabang matematika: Kalkulus


38. integral ln (2x + 3) dx


Hasil dari [tex]\int\limits {ln(2x+3)} \, dx[/tex] adalah [tex]\boldsymbol{xln(2x+3)-x+\frac{3}{2}ln(2x+3)+C}.[/tex]

PEMBAHASAN

Integral merupakan operasi yang menjadi kebalikan dari operasi turunan/diferensial. Sehingga integral sering juga disebut sebagai antiturunan.

Salah satu metode untuk menyelesaikan integral adalah metode integral parsial. Dimana :

[tex]\int\limits {u} \, dv=uv-\int\limits {v} \, du[/tex]

.

DIKETAHUI

[tex]\int\limits {ln(2x+3)} \, dx=[/tex]

.

DITANYA

Tentukan hasil integralnya

.

PENYELESAIAN

Kita gunakan metode integral parsial.

Misal :

[tex]u=ln(2x+3)~~\to~~du=\frac{2}{2x+3}dx[/tex]

[tex]dv=dx~~\to~~v=x[/tex]

Maka :

[tex]\int\limits {ln(2x+3)} \, dx=uv-\int\limits {v} \, du[/tex]

[tex]\int\limits {ln(2x+3)} \, dx=ln(2x+3)x-\int\limits {x(\frac{2}{2x+3})} \, dx[/tex]

[tex]\int\limits {ln(2x+3)} \, dx=xln(2x+3)-\int\limits {\frac{2x+3-3}{2x+3}} \, dx[/tex]

[tex]\int\limits {ln(2x+3)} \, dx=xln(2x+3)-\int\limits {\frac{2x+3}{2x+3}-\frac{3}{2x+3}} \, dx[/tex]

[tex]\int\limits {ln(2x+3)} \, dx=xln(2x+3)-\int\limits {1-\frac{3}{2x+3}} \, dx[/tex]

[tex]\int\limits {ln(2x+3)} \, dx=xln(2x+3)-x+\int\limits {\frac{3}{2x+3}} \, dx[/tex]

[tex].~~~~~~~misal~u=2x+3~~\to~du=2dx[/tex]

.

[tex]\int\limits {ln(2x+3)} \, dx=xln(2x+3)-x+\int\limits {\frac{3}{u}} \, \frac{du}{2}[/tex]

[tex]\int\limits {ln(2x+3)} \, dx=xln(2x+3)-x+\frac{3}{2}lnu+C[/tex]

[tex]\int\limits {ln(2x+3)} \, dx=xln(2x+3)-x+\frac{3}{2}ln(2x+3)+C[/tex]

.

KESIMPULAN

Hasil dari [tex]\int\limits {ln(2x+3)} \, dx[/tex] adalah [tex]\boldsymbol{xln(2x+3)-x+\frac{3}{2}ln(2x+3)+C}.[/tex]

.

PELAJARI LEBIH LANJUTIntegral parsial : https://brainly.co.id/tugas/34725665Integral parsial : https://brainly.co.id/tugas/30673657Integral parsial : https://brainly.co.id/tugas/28945863

   .

DETAIL JAWABAN

Kelas : 11

Mapel: Matematika

Bab : Integral Tak Tentu

Kode Kategorisasi: 11.2.10

Kata Kunci : integral, tak, tentu, antiturunan, parsial.


39. integral dari x^2 ln (x+4) dx


saya tidak terlalu paham

integral dari x^2 ln (x+4) dx ,mis u =x^2,du =2x dx
maka
integ x^2 ln(Vu+4)du/2x
=1/2 integ Vu ln(Vu +4) du
= 1/2 e^(Vu+4) + c
=1/2 e^(x+4) +c

#maaf kalo salah ya...

40. ∫ 3x ln 2x dx ??? (integral )


~ IntegraL

[tex]∫3x \: ln(2x) \: dx =...[/tex]

Maka , terapkan IntegraL parsial :

Misal :

[tex]u = ln(2x) = > du = \frac{1}{x} \: dx \\ dv = 3x = > v = \frac{3}{2} {x}^{2} [/tex]

Sehingga :

[tex]∫3x \: ln(2x) \: dx = ln(2x) \: . \: \frac{3 {x}^{2} }{2} - \frac{3}{2} ∫ {x}^{2} . \frac{1}{x} \: dx \\ ∫3x \: ln(2x) \: dx = \frac{ ln(2x) \: . \: 3{x}^{2} }{2} - \frac{3}{2} ∫x \: dx \\ ∫3x \: ln(2x) \: dx = \frac{ ln(2x) \: . \: 3{x}^{2} }{2} - \frac{3}{2} \: . \: \frac{1}{2} \: {x}^{2} + c \\ ∫3x \: ln(2x) \: dx = \frac{ ln(2x) \: . \: 3{x}^{2} }{2} - \frac{3}{4} \: {x}^{2} + c \\ ∫3x \: ln(2x) \: dx = \frac{ ln(2x) \: . \: 6{x}^{2} - 3{x}^{2} }{4} + c\\ ∫3x \: ln(2x) \: dx = \frac{3 {x}^{2} (2ln(2x) - 1) }{4} + c[/tex]


Video Terkait

Kategori matematika